Arduino UNO R4 WiFi OPAMP

Узнайте, как использовать встроенный операционный усилитель в UNO R4 WiFi.

В этом руководстве вы узнаете, как использовать встроенный операционный усилитель (OPAMP), имеющийся на Arduino UNO R4 WiFi. Операционные усилители очень универсальны и могут использоваться, например, для зеркалирования электрического сигнала или его усиления.

Цели

В этой статье вы узнаете:

  • о функции OPAMP на плате UNO R4 WiFi,

  • об основах библиотеки OPAMP,

  • как зеркалировать сигнал напряжения,

  • как усилить сигнал напряжения.

Необходимое оборудование и ПО

Для выполнения этого руководства вам понадобится следующее оборудование:

Операционный усилитель (OPAMP)

OPAMP — это универсальный и широко используемый электронный компонент, который относится к классу аналоговых интегральных схем. Его основная функция — усиление сигналов напряжения, но они очень универсальны и могут использоваться для:

  • зеркалирования входного напряжения на выход,

  • усиления небольшого аналогового напряжения на выходном пине, диапазон выходного напряжения UNO R4 составляет от 0 до ~4,7 В,

  • сравнения двух входных напряжений и выдачи бинарного результата «больше» или «меньше»,

  • интегрирования и дифференцирования сигналов.

Повторитель напряжения (Voltage Follower)

Самый простой способ протестировать OPAMP — настроить его как повторитель напряжения, соединив A2 с A3. В такой конфигурации напряжение на A3 должно повторять напряжение, приложенное к A1. Например, если вы подключите A1 к земле (GND), выход OPAMP на A3 также должен быть на потенциале земли. Аналогично, если вы подключите A1 к 3,3 В, выход на A3 должен быть приблизительно 3,3 В.

Схема

Схема повторителя напряжения

Схема повторителя напряжения

Усилитель напряжения

Предупреждение

При усилении напряжения батареи с помощью операционного усилителя следует учитывать потенциальные риски. Процесс усиления может привести к большому потреблению тока, по сути создавая значительную нагрузку на батарею, что может привести к перегреву, повреждению или даже представлять угрозу безопасности. Для снижения этого риска вы можете, например, добавить резистор последовательно с батареей.

Усилитель напряжения, как следует из названия, усиливает напряжение. Простой усилитель с коэффициентом 2x может быть построен с использованием, например, двух резисторов по 10k. Подключите один резистор между «минусом» и GND. Затем используйте второй резистор для соединения выхода и «минуса» вместе. Схему подключения можно увидеть ниже. Любой сигнал, поданный на «плюс», теперь будет появляться с удвоенной амплитудой на выходном пине. Разумеется, входной сигнал и плата Arduino должны иметь общий GND.

Предупреждение

Усиленный выходной сигнал не должен превышать ~4,7 В, иначе появится клиппирование и вы можете повредить плату.

Ниже показан снимок осциллографа, на котором прямоугольный сигнал приблизительно 2 В (зелёный, канал 2) усиливается до прямоугольного сигнала 4 В (жёлтый, канал 1) с помощью схемы, показанной ниже. Входной сигнал был сгенерирован функциональным генератором (и был подключён общий GND).

Измерения осциллографа

Измерения осциллографа

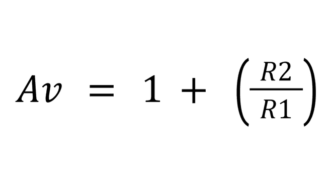
Но допустим, вы хотите усилить сигнал напряжения в 4 раза вместо 2. Коэффициент усиления OPAMP в основном зависит от выбранных номиналов резисторов. Взгляните на формулу ниже:

Расчёт номинала резистора

Расчёт номинала резистора

Av = Усиленное напряжение (В)

R1 = Резистор, подключённый к GND (Ом)

R2 = Резистор обратной связи (Ом)

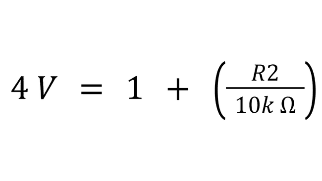
Мы знаем, что хотим усилить напряжение в четыре раза, поэтому:

Av = 4 В

Теперь нам нужно определить, какие резисторы выбрать. Поскольку мы можем решить уравнение только для одной неизвестной переменной, мы выбираем заранее определённое значение для одного из резисторов, например, 10 кОм для R1.

R1 = 10 кОм

Ваша формула теперь должна выглядеть так:

Подстановка значений в формулу

Подстановка значений в формулу

Остаётся R2 как единственная неизвестная переменная. Теперь вычтите единицу из обеих сторон. Затем умножьте обе стороны на десять тысяч (10 кОм), что даёт нам:

R2 = 30 кОм

Схема

Схема усилителя напряжения 2x

Схема усилителя напряжения 2x

Совет

Подробнее о схеме усилителя можно прочитать здесь.

Код

Для запуска OPAMP просто подключите библиотеку и вызовите OPAMP.begin(speed). В качестве опционального аргумента speed этой функции можно выбрать либо OPAMP_SPEED_LOWSPEED для режима с низкой скоростью (пониженное энергопотребление), либо OPAMP_SPEED_HIGHSPEED для режима с высокой скоростью и высоким энергопотреблением.

#include <OPAMP.h>

void setup () {
  OPAMP.begin(OPAMP_SPEED_HIGHSPEED);
}

void loop() {}